线缆资讯

您当前的位置:首页 > 新闻资讯 > 线缆资讯

怎样计算电缆线路的导体电阻

时间:2024-05-22浏览:

导体电阻是电缆线路的主要电气参数之一,它包括导体直流电阻和导体交流电阻。

(1)导体直流电阻是电缆线路在施加直流电压时的电阻值,它与导体所用材料的电阻率和环境温度有关。直流电阻是计算交流电阻的依据。在进行电缆线路的参数测量和测寻故障时,导体的直流电阻计算值,是非常重要的参考数据。

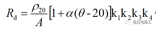
单位长度导体直流电阻

    

式中 Rd——单位长度电缆导体在℃时的直流电阻,Ω;

ρ20——导体材料在20℃时的电阻率,Ω·m;

A——导体截面积,mm2;

α——电阻温度系数,℃;

k1——单根导线加工引起的电阻率增加系数,它和导体直径大小、金属种类和表面是否有涂层有关,一般取k1=1.02-1.07,当单根导线线径较大时,取较大的数值;

k2——导体经绞合引起的电阻率增加的系数,一般取k2=1.02-1.04,单线直径较小时,取较大的值;

k3——绝缘线芯经成缆引起的电阻率增加的系数,一般k3=1.02;

k4——导体经紧压加工引起导体电阻率增加的系数,一般k4=1.01。

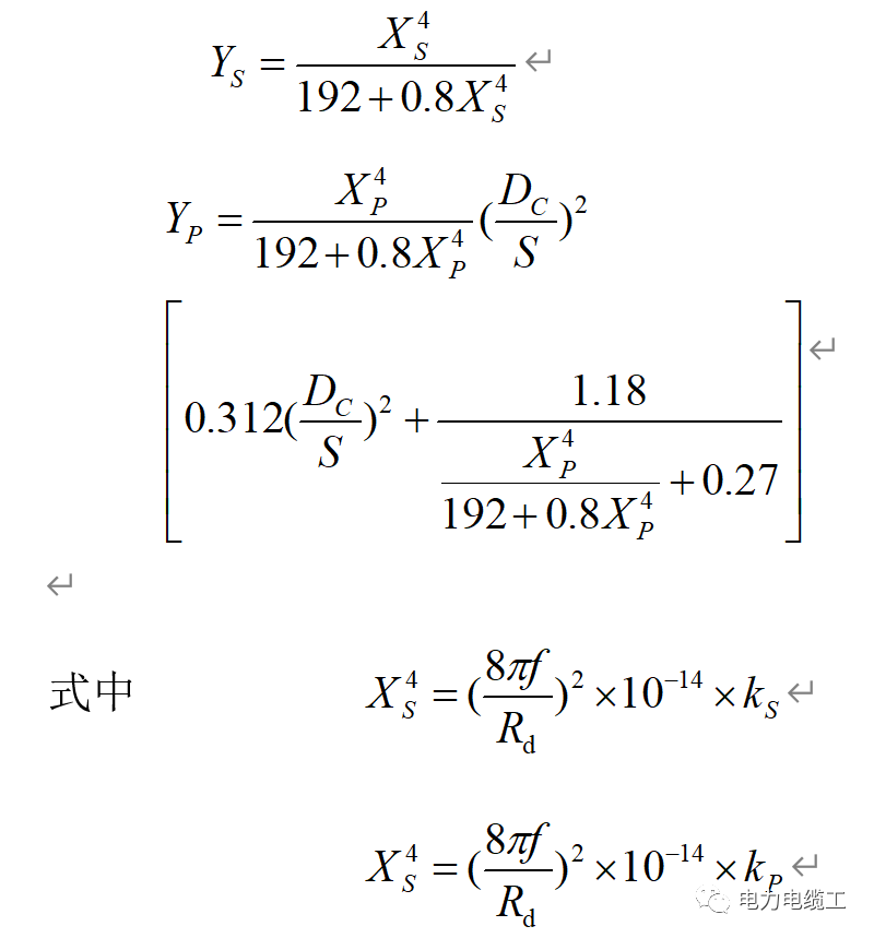
2)导体交流电阻是电缆线路在施加交流电压时的电阻值。当导体通过交流电流时,由于导体本身的集肤效应和回路电流的邻近效应影响,使得其交流电阻要比直流电阻大。单位长度交流电阻

式中Ra——单位长度电缆导体的交流电阻,Ω;

  Rd——单位长度电缆导体的直流电阻,Ω;

Ys——集肤效应因数,是由于集肤效应使电阻增加的百分数,%;

  Yp——邻近效应因数,是由于邻近效应使电阻增加的百分数,%。

上式中,集肤效应因数和频率与导体结构有关;邻近效应因数是一相导体受其他两相导体产生的交变磁场作用的结果。计算公式如下:    

      


式中 f——系统频率,50Hz;

   Rd——单位长度电缆导体直流电阻,Ω;

   Dc——导体半径,mm;

   S——导体中心轴间距离,mm;

   ks——与集肤效应有关的导体的结构常数,分割导体ks=0.435,其他各种导体ks=1.0;

   kp——与相邻效应有关的导体的结构常数,分割导体kp=0.37,其他各种导体kp=0.8-1.0。

 

 【免责声明】本文来源于节选自《电力电缆安装运行技术问答》,转载出于传递和分享更多信息之目的,并不意味着赞同其观点或对其内容真实性负责,文章仅供参考。如本网站转载内容涉及版权等问题,请速与我们取得联系,我们将及时修改或删除

Copyright © 2019 金龙羽集团股份有限公司      股票代码 002882       备案号:粤ICP备11090664号-2