线缆资讯

您当前的位置:首页 > 新闻资讯 > 线缆资讯

2500W的设备,用1平方的电线行不行?

时间:2023-11-24浏览:

在我们工作中经常碰到需要根据用电设备功率来选择电线大小,虽然不难,但是有很多朋友依然不知道怎么具体该计算。这里来跟大家分享一下如何根据功率选择电线大小。

第一步,根据功率计算电流大小

根据功率配线,第一步就是先根据功率计算出电流大小,因为电线大小主要取决于电流大小。那么电流大小该如何计算呢?

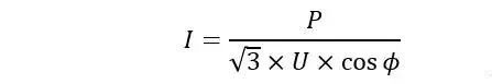
单相计算公式

三相计算公式

其中:

I表示电流;P表示有功功率;U表示电压;
cosΦ表示功率因数,阻性负载cosΦ=1,感性负载cosΦ=0.8

举个例子:2500W的单相电热水壶,它的额定电流是多少呢?

再举个例子:2500W的三相电机,它的额定电流是多少?

根据公式计算很麻烦,也容易出错,那么有没有更简便的方法呢?当然有,我们也可以根据经验来估算电流大小:

220V阻性负载,1KW大约4.5A电流;220V感性负载,1KW大约5.6A电流
380V阻性负载,1KW大约1.5A电流;380V感性负载,1KW大约2.0A电流


第二步,根据电流大小选线

根据电流大小选线一般有两种方式,第一种是通过查表,第二种是通过口诀估算。查表得到的数据比较精确,适用于大批量配线或者大电缆。通过口诀估算一般适用于对截面积要求不严格的情况。

比如某公司大批量生产电饭煲,要给电饭煲配电源线。假设0.75平方的铜线就能满足要求,如果采用1平方铜线虽然也能胜任,但是会增加很多成本。同样如果我们要给某一台机器配线,假设1平方铜线能满足要求,但是我们采用1.5平方的铜线,这也未尝不可。

这里我就以查表选电线大小为例,如图

上图是聚氯乙烯绝缘电线 明线安装载流量(数据来源于《供配电设计手册》)

“聚氯乙烯绝缘电线”也叫“BV线”,也就是我们常说的“塑料硬线”。如果觉得图片有用,建议大家可以把图片保存到手机里,或者收藏这篇文章,免得以后需要的时候找不到。

上图是聚氯乙烯绝缘聚氯乙烯护套电缆 明线安装载流量(数据来源于《供配电设计手册》)

“聚氯乙烯绝缘聚氯乙烯护套电缆”也叫“RVV电缆”,也就是我们常说的“护套线”。

从该表格可以看出,0.75平方的两芯护套线在常温(35℃)下的安全载流量为12A;1平方的两芯护套线在常温(35℃)下的安全载流量为14A。


总结

对于额定电压220V、功率2500瓦的用电设备,如果采用护套线供电,那么1平方大截面积足以;某些杂牌的用电设备,也有可能采用0.75平方的护套线。

注意:对于家庭装修或其他配线,我们还要按相关规范执行。比如家装规范要求插座必须采用2.5平方以上铜线,照明必须采用1.5平方以上的铜线。所以在家装施工中,插座回路不管用电多少,都要采用2.5平方以上的铜线。


【免责声明】本网站所收集的部分资料来源于:电缆宝网,转载出于传递和分享更多信息之目的,并不意味着赞同其观点或对其内容真实性负责,文章仅供参考。如本网站转载内容涉及版权等问题,请速与我们取得联系,我们将及时修改或删除。

Copyright © 2019 金龙羽集团股份有限公司      股票代码 002882       备案号:粤ICP备11090664号-2